介绍一下 MoBA:面向长文本大模型的混合块注意力机制
MoBA通过将专家混合系统(Mixture of Experts, MoE)的思想与稀疏注意力(sparse attention)相结合,为大语言模型中的长文本处理方式带来革命性变化。

高效处理和生成长序列的能力对大语言模型(LLMs)十分重要,然而传统注意力机制在扩展到长上下文时面临平方复杂度计算挑战。现有的解决方案通常会引入特定任务的稀疏先验(比如滑动窗口注意力,Sink注意力等),或需要对注意力机制进行彻底的改变(比如线性注意力)。在本文中,我们介绍了混合块注意力(Mixture of Block Attention, MoBA),它将专家混合(Mixture of Experts, MoE)的思想与稀疏注意力(Sparse Attention)结合,在保持原始Transformer架构的灵活性和性能的同时,尝试解决上述挑战。
从全注意力(Full Attention)到混合块注意力(MoBA)
MoBA是一种受专家混合(MoE)和块稀疏注意力(Block Sparse Attention)启发的注意力架构。在传统注意力中,每个 query 都会和完整的上下文(KV)进行计算,MoBA 使每个 query 能够有选择地专注于一部分(KV),保持性能的同时降低了计算成本。

总的来说,MoBA有下面关键创新,感兴趣的读者可以参考我们的论文了解详细信息https://arxiv.org/abs/2502.13189 (opens in a new tab)
- 块划分和动态路由:上下文被划分为块,MoE 式的门控网络动态地为每个 query 选择最相关的块。
- 保持因果性:MoBA 确保 query 不能关注未来的块,保持了语言模型的自回归特性。当前块应用了 causal 掩码以防止信息泄露。
- 细粒度块划分:类似于MoE中细粒度专家划分,上下文的细粒度划分增强了性能,允许更细致的注意力模式。
- MoBA与全注意力的混合:MoBA可以无缝地在全注意力和稀疏注意力之间切换。这种灵活性使模型能够利用现有的预训练全注意力模型。
- 高性能实现:我们通过整合FlashAttention和MoE的优化技术,提供了MoBA的高性能实现。
将 MoBA 扩展到1000万上下文
- Scaling Law 实验:MoBA在 LM loss 方面实现了与全注意力相当的性能,即使对于序列末尾的 LM loss 差异也很小。
- 混合策略:尝试了训练混合和分层混合两种策略。训练混合是在训练期间将MoBA与全注意力交替使用(例如,用MoBA训练大多数语料,仅用少量语料激活全注意力),这样可以实现了与全注意力几乎相同的性能,同时提高了训练效率。分层混合策略,是在层间交替使用 MoBA 和全注意力,这在 SFT 期间进一步保证了效果。
- 现实世界任务评估:MoBA在各种长上下文基准测试中表现出色,包括大海捞针和RULER,取得和全注意力相同效果。
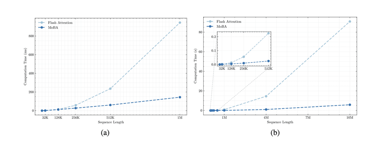
- 效率和可扩展性:MoBA显著减少了注意力计算时间,与全注意力相比,100万上下文长度实现了6.5倍的速度提升,在扩展到 1000 万上下文时实现了16倍的速度提升。

MoBA 与全注意力(使用 Flash Attention 实现)的效率对比。(a) 1M 模型加速评估:在序列长度从 8K 到 1M 增加的情况下,MoBA 与 Flash Attention 在 1M 模型上的计算时间扩展。(b) 固定稀疏率扩展:在序列长度从 8K 到 10M 增加的情况下,MoBA 与 Flash Attention 的计算时间扩展对比,保持恒定的稀疏率 95.31%(固定 64 个 MoBA 块,具有方差块大小和固定的 top-k=3)。
结论和未来工作
通过动态选择相关的上下文块并保持与传统 Transformer 架构的兼容性,MoBA在性能和效率之间取得了平衡。它能够在全注意力和稀疏注意力模式之间无缝切换,使其成为长上下文任务的有效解决方案。未来的工作会进一步优化 MoBA 的块选择策略,并探索其在复杂推理任务中的潜力。
参考资料
有关MoBA的更多详细信息,请参考技术报告和MoBA的GitHub仓库 https://github.com/MoonshotAI/MoBA (opens in a new tab)
2025 © Moonshot AI用户中心文档